Questo sito utilizza i cookie per offrirti una migliore esperienza di navigazione.
Cliccando su "Accetto" acconsenti all'utilizzo di tutti i cookies.
Se rifiuti o chiudi questo banner potrai ugualmente consultare il sito ma alcune funzionalità potrebbero non essere disponibili.

Leggi la Cookies policy
Si tratta di cookies tecnici indispensabili al funzionamento del sito
Consentono di monitorare in forma anonima ed aggregata le visite al sito (statistiche)
aller au contenu aller au menu principal

Menu di navigazione

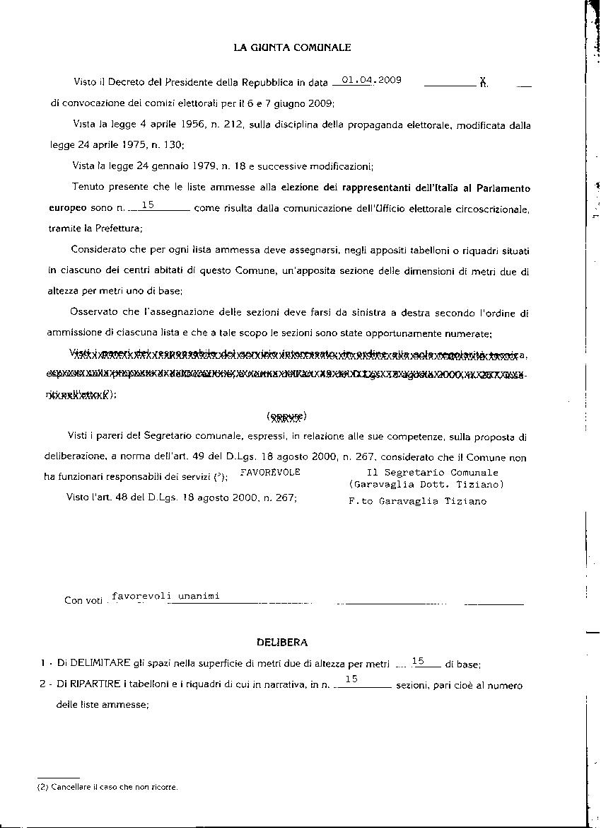
Délibération n. 18/2009

Numéro 18 /2009
Data
Responsabile GARAVAGLIA Dr. Tiziano
Oggetto Propaganda elettorale:Delimitazione, ripartizione e assegnazione spazi per affissioni di propagnada per le liste dei candidati alla elezione dei rappresentanti dell'Italia al parlamento europeo del 6 e 7 giugno 2009
Document del.jpg[.jpg 132,52 Kb - 08/05/2009]

Quanto sono chiare le informazioni su questa pagina?

Valuta da 1 a 5 stelle la pagina

Grazie, il tuo parere ci aiuterà a migliorare il servizio!

Quali sono stati gli aspetti che hai preferito? 1/2
Dove hai incontrato le maggiori difficoltà? 1/2
Vuoi aggiungere altri dettagli? 2/2
Inserire massimo 200 caratteri